Schwarzschild Metrik, sphärische Droste Koordinaten
gᵤᵧ
Γᵒᵤᵧ
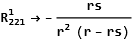
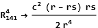
Řᵤᵧ
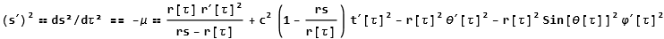
K
ẍᵘ
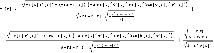
ṫ
pᵤ
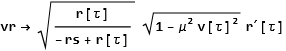
v
Input 1:
Output 1:
Input 2:
Output 2:
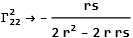
Input 3:
Output 3:
![if image doesn't load refresh with [F5] or force refresh with [ctrl]/[strg]+[F5]](z/06s_11.png)
|
![if image doesn't load refresh with [F5] or force refresh with [ctrl]/[strg]+[F5]](z/06s_12.png)
|
![if image doesn't load refresh with [F5] or force refresh with [ctrl]/[strg]+[F5]](z/06s_13.png)
|
→ -r+rs
|
![if image doesn't load refresh with [F5] or force refresh with [ctrl]/[strg]+[F5]](z/06s_15.png)
|
![if image doesn't load refresh with [F5] or force refresh with [ctrl]/[strg]+[F5]](z/06s_16.png)
|
→ -Cos[θ] Sin[θ]
|
![if image doesn't load refresh with [F5] or force refresh with [ctrl]/[strg]+[F5]](z/06s_18.png)
|
→ Cot[θ] |
Input 4:
Output 4:
Input 5:
Output 5:
Input 6:
Output 6:
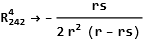
Input 7:
Output 7:
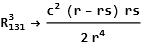
Input 8:
Output 8:
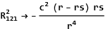
Input 9:
Output 9:
Input 10:
Output 10:
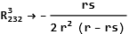
Input 11:
Output 11:
Input 12:
Output 12:
Modus:

Mehr:
![if image doesn't load refresh with [F5] or force refresh with [ctrl]/[strg]+[F5]](z/stdgr_1.png)